AU

Modeller for jordkloden viser fremtidens klima


I tre årtier har Jens Hesselbjerg Christensen forsøgt at forstå Jordens klima ved hjælp af stadig mere avancerede modeller. Han er optimist på klodens vegne, for han oplever, at der i stadig højere grad bliver lyttet til klimaforskere som ham.


Af Henrik Bendix


Professor Jens Hesselbjerg Christensen tager imod i sit hyggelige kontor højt oppe i en ældre bygning på Tagensvej i København. Her holder Niels Bohr Institutets sektion for Is, Klima og Geofysik midlertidigt til, indtil Københavns Universitets stærkt forsinkede skandalebyggeri Niels Bohr Bygningen engang bliver klar til indflytning.

For ham personligt betyder det ikke det store, hvor han sidder. Han er ikke blandt de klimaforskere, der har brug for sofistikeret laboratorieudstyr til analyse af luftbobler, der har været fanget i isen i tusindvis af år. I stedet benytter han supercomputere til at modellere Jordens klimasystem for at blive klogere på, hvorfor klimaet rundt omkring på kloden opfører sig, som det gør, og hvordan det bliver i fremtiden. Det gør han så godt, at han har været medlem af FN’s klimapanel siden 1995.

»Klima er vejret over tid. Jeg prøver at forstå, hvordan vejret altid repræsenteres på den samme måde, men med variationer og udsving, over en periode på mange år,« fortæller Jens Hesselbjerg og uddyber forskellen på vejr og klima:

»Man kan sige, at klimaet er det, vi forventer, mens vejret er det, vi får. På en ferie vil vi måske gerne sidde og dase på en strand, og så tager vi et sted hen, hvor der er sol og varme. Hvis vi hellere vil stå på ski, tager vi et sted hen, hvor der er koldt og sne. Klimaet på destinationen afgør, hvordan temperaturer, fugtighed og vejrforhold forventeligt vil være.«

»Men vi kan blive grueligt skuffede – der kan være regn og tordenvejr på den strand, hvor vi havde tænkt os at dase i solen, eller skiområdet er ramt af en varmebølge, som giver plusgrader og ingen sne. Tager vi afsted 10 år i træk, skal vi dog nok få ni gode ferier.«

Drivhuseffekten har været kendt længe

Vejret kan ændre sig fra dag til dag, men klimaet er sværere at rykke ved. Alligevel er det lykkedes os mennesker at få klodens klima til at forandre sig ganske hurtigt. Der er ikke længere tvivl om, at afbrændingen af fossile brændstoffer (olie, kul og gas) er årsagen til det øgede CO2-indhold i atmosfæren, som giver global opvarmning. Det har taget lang tid at nå den erkendelse i offentligheden, selv om teorien bag drivhuseffekten og betydningen af stigende mængder af CO2 i atmosfæren har været på plads i mere end et århundrede.

»De vigtigste drivhusgasser er vanddamp, kuldioxid, metan og lattergas. Og de tre sidste piller vi ved. Større koncentrationer af disse gasser betyder alt andet lige, at temperaturen på kloden stiger. Det har man vidst i meget lang tid, faktisk allerede før Arrhenius,« fortæller Jens Hesselbjerg.

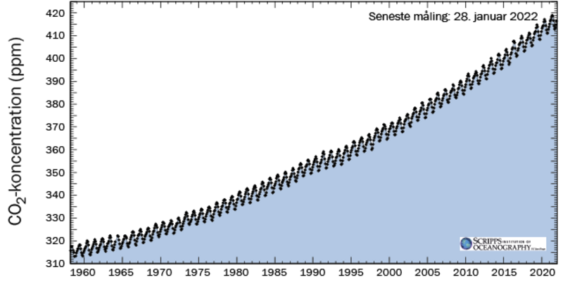
Den såkaldte Keeling-kurve viser målinger af atmosfærens CO2-indhold ved Mauna Loa Observatoriet på Hawaii, som Scripps Institution of Oceanography har foretaget siden 1958.

Den svenske fysiker og kemiker Svante Arrhenius var den første, der helt tilbage i 1896 satte tal på, hvor meget en øget koncentration af CO2 i atmosfæren betyder for klodens temperatur. I de følgende år forfinede han sine beregninger og kom frem til, at en fordobling af mængden af CO2 ville øge den globale gennemsnitstemperatur med cirka fire grader.

Netop beregningen af, hvor meget temperaturen stiger, hvis mængden af CO2 i atmosfæren fordobles i forhold til det førindustrielle niveau, er et standardeksperiment, som klimaforskerne stadig udfører ved hjælp af nutidens avancerede klimamodeller. Temperaturstig­ningen kaldes modellens klimafølsomhed. De nyeste modeller er ikke helt enige om klimafølsomheden, men et godt bud er en temperaturstigning på tre grader.

»Det kan meget vel være, at man kan påpege regnefejl i Arrhenius’ udregninger, men de fire grader er jo ikke skævt i forhold til den klimafølsomhed, modellerne giver i dag – han fik jo ikke en temperaturstigning på 40 grader, for eksempel,« siger Jens Hesselbjerg.

»De menneskeskabte klimaforandringer har allerede givet en temperaturøgning på én grad i global middeltemperatur, og resten af århundredet vil de sandsynligvis give to grader yderligere – eller måske mere, alt efter hvor effektivt vi kan bremse CO2-udledningen og indfri målsætningen i Parisaftalen. Rigtig meget af den udvikling er fanget af den type modeller, vi havde for 30 år siden – modeller som dem, Syokoro Manabe og Klaus Hasselmann fik Nobelprisen i fysik for i 2021. Det står til troende, hvad de fandt frem til; det er ikke radikalt lavet om.«

»Men nu har vi tilført modellerne flere detaljer, og vi får stadig det samme resultat. Med de avancerede modeller har vi fået belæg for, at det konceptuelle billede er korrekt. Vi har fået mange flere data, og vores data er af højere kvalitet.  Vi er gået fra at have termometre stående et begrænset antal steder til at måle alle mulige bølgelængder fra satellitter, der kan måle overalt på kloden. Så vi har fået et meget stærkere fundament for at sige, at tingene ændrer sig.«



Energiregnskabet skal gå op

Udgangspunktet for en klimamodel er den energi, kloden modtager fra Solen. Vinklen på Jordens rotationsakse styrer årstiderne på vores breddegrader, men også klimaet i troperne, hvor man ikke har sommer og vinter, men typisk en eller to regntider og tørt vejr resten af året.

Temperaturen på Jorden er i bund og grund givet af vores position i forhold til vores lokale stjerne. Strålingen fra Solen opvarmer den solbeskinnede side af jordkloden, og samtidig afgiver Jorden varme ud til verdensrummet fra både dagsiden og nattesiden.

En simpel beregning ud fra afstanden til Solen og balancen mellem den indgående og udgående energi giver en jordklode en gennemsnits­temperatur på cirka 18 minusgrader. Så kold ville vores klode være, hvis det ikke var for drivhusgasserne, som hæver temperaturen til de cirka 15 grader, vi har i dag.

På lange tidsskalaer skal man tage hensyn til, at Jordens bane om Solen og hældningen af klodens rotationsakse i forhold til banen om Solen ikke er helt konstant. Som den serbiske geofysiker Milutin Milanković fandt ud af, har den naturlige, periodiske variationen i solindstrålingen stor betydning for klimaet.

Når først den elementære energibalance er på plads, kan man begynde at regne på, hvordan energi transporteres rundt på kloden af vind og havstrømme, og så begynder det for alvor at blive kompliceret, og computere bliver uundværlige.

I en klimamodel deles Jordens atmosfære op i tredimensionalt net af celler, så vind, temperatur, fugt og tryk kan beregnes for alle steder på kloden. Jo mindre de forbundne celler er, desto flere beregninger skal computeren udføre.


Da den unge Jens Hesselbjerg skiftede fra astrofysik til klimamodellering for tre årtier siden, var han lidt af en computernørd, og netop kendskab til computere og programmering var noget, der kunne bruges i det nye fagområde.

»I de første klimamodeller for 30 år siden opererede man på horisontalskalaer på 500 x 500 km, så hele Europa var måske 12 referencepunkter,« fortæller han.

»På global skala kan vi i dag regne på en horisontal celle, der er cirka 1 x 1 km, og så med et tykkelseslag fra en halv snes meter op opefter i atmosfæren. Det giver rigtig mange beregningspunkter og kan kun lade sig gøre med de ypperste computere.«

Havstrømme og vandets kredsløb skal med

Men det er ikke nok at regne på atmosfæren, når havstrømme også transporterer energi og har stor betydning for klimaet. Atmosfærefysikere og oceanografer, der havde udviklet modeller uafhængigt af hinanden, var nødt til at sætte sig sammen og få modellerne til at snakke sammen.

»Det var dømt til at gå galt, for begge slags modeller havde systematiske fejl, og modellerne gav helt forkerte forudsigelser,« siger Jens Hesselbjerg og bruger upwelling – når koldt vand fra dybhavet bringes op til overfladen, fordi fralandsvind fører overfladevandet til havs – som eksempel:


»Vi har Humboldtstrømmen ud for Sydamerika og også en strøm ud for Namibias kyst, hvor der kommer forholdsvist koldt vand op. Hvor det kølige vand møder atmosfæren, fortættes vanddampen, og der dannes et lavthængende, ret tyndt men udbredt skydække, der igen er med til at holde temperaturen nede i havet. Her var det svært at få modellen til at lave skylaget, og så gik det galt. Man blev nødt til at have mange flere lag i atmosfæren, så man får opløst skyerne rigtigt, og det tog lang tid at finde ud af og få til at virke i modellerne.«

Vand findes ikke bare i havet, men falder også ned på landjorden i form af regn, og vandets kredsløb er også med i modellerne. Her er det også vigtigt med en høj opløsning, så alle detaljerne kommer med, lyder det fra Jens Hesselbjerg:

»Se bare på forskellene på den skandinaviske halvø; Skånes øverste lag minder meget om Danmarks, men længere oppe i Sverige har vi skov, og i Norge har vi fjelde – en anden undergrund. Det betyder noget for vandet kredsløb, for vandet løber hurtigere af en klippe, ikke mindst hvor der er højdeforskelle.«

»Og hvad sker der i Lynge Å ved Allerød, hvor jeg bor? Det er måske meget at kalde den en å, for der er vand i den under halvdelen af året, men så er det jo en vandtransport – en del af den regn, der kommer ned, ryger den vej ud i havet i stedet for at sive ned i jorden. Det kan vi regne på og løse numerisk inden for skalaen 1 x 1 km. Vi er tæt på, at en lille å som Lynge Å er med i klimamodellerne.«

Klimamodeller er blevet til modeller for Jorden

Stadig flere elementer tilføjes de avancerede klimamodeller, som forskere fra mange forskellige forskningsområder i dag arbejder sammen om. Udover atmosfæren, oceanerne, jordoverfladen og vandkredsløbet er iskapperne også ved at komme med, og de biokemiske kredsløb, specielt kulstofkredsløbet, er blevet inkluderet. Så taler forskerne ikke længere om klimamodeller, men om jordsystemmodeller (Earth System Models).

»På verdensplan er der omkring 15 Earth System Models. Fra dansk side er vi med på en europæisk model, der kaldes EC-Earth, hvor specielt de meteorologiske tjenester i mindre lande og forskningsgrupper, der vedligeholder modellens forskellige komponenter, arbejder sammen,« siger Jens Hesselbjerg.

»De forskellige klimamodeller og jordsystemmodeller har ikke helt samme klimafølsomhed. Nogle af dem laver skyerne lidt anderledes eller beskriver landoverflader på en anden måde, for eksempel i forhold til, hvor meget sollys, de reflekterer. Det er nuancer, men de spiller en rolle,« fortsætter han og peger på, at vi jo er i fuld gang med at eksperimentere med jordsystemet, og at modellerne og måledata skal passe sammen:

»Det videnskabelig miljø bruger rigtig meget tid på at dokumentere kvaliteten af modellerne ved at sammenligne med den virkelige verden. Det er vigtigt, at modellerne er tro imod en række af de observerede ændringer, vi ser.«

Jordsystemmodeller spiller sammen med observationer og forståelsen af de fysiske sammenhænge en hovedrolle i de rapporter, FN’s klimapanel udgiver om klimaets tilstand før, nu og i fremtiden. Og da det selv med de hurtigste supercomputere er svært at spå om fremtiden, må forskerne nøjes med at sige, at en fordobling af CO2 i atmosfæren sandsynligvis vil øge den globale temperatur med mellem 2,5 og 4 grader i forhold til 1850. Bedste bud fra eksperterne er en temperaturstigning på tre grader.

I juli 2021 var der et usædvanligt langvarrigt og kraftigt skybrud over Rheinland-Pfalz og Nordrhein-Westfalen i Tyskland samt dele af Holland og Belgien. Ødelæggelserne var omfattende med mange omkomne. Her ses den belgiske by Pepinster. Forekomsten af disse ekstreme vejrhændelse vil blive hyppigere og med risiko for at blive endnu kraftigere fremover pga. klimaændringer.

Vi får mere ekstremt vejr

Modellerne bliver hele tiden bedre, men teknologien sætter grænser for opløsningen. Det er ikke nemt at finde en computer, der er kraftig nok til at håndtere de ekstremt mange beregninger, og forskerne har også svært ved at finde pengene til computertiden. Desuden er der grænser for, hvad computerne kan gøre, fortæller Jens Hesselbjerg:

»Hvis vi kan computermodellere hele Jorden på fuld skala – af nogle kaldet en digital tvilling – så mangler vi kvalificerede mennesker, der kan analysere resultatet dybt nok. Jorden opløst med én km, det er virkelig mange punkter. Modellerne skal kunne reproducere de atmosfæriske bevægelser i stor skala, men vi skal også kunne kigge på, hvad der sker i Danmark eller på en græsk ø eller langt ude i Stillehavet. Den kapacitet findes ikke i tilstrækkelig grad.«

En stigning i temperaturen giver stigning i havniveauet, for vand udvider sig, når det bliver varmere, og dertil kommer afsmeltning fra gletsjere og fra iskapperne i Grønland og Antarktis. Desuden får vi mere ekstremt vejr, for eksempel i form af kraftig nedbør eller tørke, og den nye generation af klimamodeller tillader forskerne at dykke ned i forskellige geografier og undersøge, hvad den globale opvarmning får af konsekvenser i specifikke områder.

»Vi kan ikke altid sige, om en konkret begivenhed som eksempelvis det voldsomme skybrud over København 2. august 2011 havde med klimaforandringer at gøre, men vi ved, at ekstreme begivenheder bliver mere sandsynlige og endnu kraftigere. For store, udbredte ekstremer som hedebølger og tørke kan vi faktisk godt sige, at de er meget mere sandsynlige nu, hvor det er varmere end tilbage i tiden før industrialiseringen. Så derfor kan vi bedre italesætte de billeder, vi ser for fremtiden.«

»Vi kan bede folk om at forestille sig et skybrud, der starter en time før, slutter en time senere og kulminerer med dobbelt så høj intensitet som det skybrud, vi havde i 2011. Hvordan forbereder man sig på sådan en begivenhed?« spørger Jens Hesselbjerg og indrømmer, at klimaforskerne måske nok har fokuseret lidt for meget på talknuseri frem for at komme med eksempler på, hvad vi kan vente os. Han er ikke et øjeblik i tvivl om, at klimamodeller kan bruge til at konkretisere de ekstreme vejrbegivenheder, så vi bliver bedre klædt på til at håndtere dem.

Antarktisk kæmpegletsjer får opmærksomhed

Isen ved polerne er vanskelig at modellere, og derfor er det svært at regne på de fremtidige stigninger i vandstanden, der skyldes afsmeltning fra isen. Forskerne har brug for flere data, og dem får de for eksempel fra den enorme gletsjer Thwaites i Vestantarktis. I et stort, femårigt forskningsprojekt er mere end 100 forskere i fuld gang med at undersøge, hvordan gletsjeren reagerer på de stigende temperaturer.

Gletsjerne er næsten fem gange så stor som Danmark, og i løbet af de seneste 20 år har den mistet mere end 1000 milliarder tons is på grund af opvarmningen af luften og vandet omkring den. I løbet af få århundreder kan vi opleve et totalt kollaps af Thwaites-gletsjeren, hvilket vil medføre en stigning af vandstanden på 65 cm. Endnu værre bliver det, hvis kollapset åbner op for, at resten af isen i Vestantarktis kan flyde ud i havet.

Ved hjælp af målinger fra fly, satellitter, vejrstationer, boringer, undervandsrobotter og sensorer på havpattedyr prøver forskerne at blive klogere på, hvordan havvandet gnaver dig ind under gletsjeren, så de får et bedre billede af, hvordan den påvirkes af stigende temperaturer. Alle data bidrager til at forbedre modellerne af gletsjeren, så forskerne lettere kan forudsige dens skæbne. (Kilde: thwaitesglacier.org).

Iskapperne er svære at forudsige

Den globale overfladetemperatur var 1,09 °C højere i 2011-2020 end 1850-1900, og klimaforskerne kan nu sige helt utvetydigt, at det er menneskets afbrænding af fossile brændstoffer, der har forårsaget opvarmningen. Klimamodellerne giver simpelthen ikke andre muligheder.

Men hvor meget varmere, det bliver i fremtiden, det kan klimaforskerne ikke sige, for det afhænger af, hvor meget og hvor hurtigt vi kan begrænse udledningen af CO2. Sikkert er det, at der skal ske store reduktioner, hvis vi skal holde os under en temperaturstigning på to grader frem mod 2100.

Omvendt kan vi se frem til mere end en fordobling af CO2-niveauet og dermed en temperaturstigning på mere end fire grader før 2100, hvis vi bliver ved med at være afhængige af fossile brændsler som kul i en verden med stigende befolkningstal og økonomisk vækst.

Hvor meget vandstanden vil stige som konsekvens af de stigende temperaturer er endnu sværere at spå om, specielt fordi klimaforskerne har svært ved at forudsige iskappernes opførsel. Men fortiden kan give et hint, for ved at analysere luftbobler i iskerner og boreprøver fra havbunden kan forskerne finde ud af, hvordan klimaet var for hundredtusinder af år siden.

I en del af den seneste mellemistid for mellem 130.000 og 115.000 år siden, Eemtiden, var den globale gennemsnitstemperatur cirka en grad højere, end den er i dag, og havet stod cirka seks meter højere. Det meste af indlandsisen på Grønland – men ikke det hele – var smeltet væk, og de store ishylder, der sidder fast på isen ved Antarktis, men flyder på havet, må være kollapset.

»Vi ved, at det kan gå forholdsvis hurtigt i Antarktis, når ishylderne bryder op, for så lukker man op for gletsjere fra iskappen, så de kan kælve. Men vi ved ikke, om det kan ske på 10 år eller 100 år, for selv om vi kender mekanismerne, har vi stadig ikke god nok forståelse for, hvordan isen flyder i de zoner, hvor den knækker og brækker,« siger Jens Hesselbjerg.

Det er nok tvivlsomt, om vi kan holde os under en temperaturstigning på to grader i forhold til den førindustrielle tid, når nu vi allerede har passeret den ene grad og fortsætter med at lukke CO2 ud i atmosfæren. Men Jens Hesselbjerg er trods alt optimist, fordi klimaet nu har verdens opmærksomhed, og fordi han har oplevet, at politikerne rent faktisk lytter til videnskaben, når parterne mødes til de store klimatopmøder (Conference of the Parties, COP):

»I dag ved ethvert skolebarn, hvad det handler om. Det er positivt, at Greta Thunberg findes og gør, som hun gør, for det er et udtryk for, at diskussionen ikke længere bare foregår mellem akademikere. Både politikere og den brede befolkning er med i diskussionen nu.«

»Politikerne er i dialog med klimaforskerne nu. Paris-aftalen viser, at der har været en refleksion af, hvad der er blevet sagt fra forskernes side. Det tog lang tid, før der blev lyttet, men det gør der nu, hvor det er blevet mainstream at tale om klimaforandringer. Nu skal politikerne bare sætte handling bag ordene,« slutter han.  ♦


Undervisningsmateriale:


To arbejdsark om klima, fysik og matematik

Det første arbejdsark knytter an til artiklen: Nedbørsekstremer og Regnfattige somre fra AN 2/2019 og er tænkt til at kunne bruges i et enkelt modul. Det kan for eksempel være i matematik i forbindelse med statistik eller i NV i forbindelse med et forløb om klima. Formålet er øvelse i at læse en videnskabelig artikel og kunne forstå og aflæse tabeller, diagrammer og grafer.
Fag: Matematik C/B og Naturvidenskabeligt grundforløb

Hent arbejdsarket om matematik og nedbørsekstremer (word)


Det andet arbejdsark går ud på at bruge programmet NetLogo til at undersøge, hvilken betydning Jordens atmosfære og overflade har for temperaturen. Materialet er lavet som perspektiv på foredraget Klimaforandringerne i serien Offentlige foredrag i Naturvidenskab ved Jens Hesselbjerg Christensen og den dertil knyttede artikel: Modeller for Jorden viser fremtidens klima 
Fag: Fysik C-niveau

Hent arbejdsarket om klimaforandringer og brug af Netlogo (word)