AU

At eksplodere eller at implodere?


Opdagelsen af, at en “forbudt” kernefysisk proces med uventet effektivitet kan transformere grundstoffet neon til fluor, hjælper os med at forstå hvilken skæbne der venter de middeltunge stjerner i vores Galakse.


Af Oliver Kirsebom

Stjerner følger i modsætning til os mennesker en forudsigelig bane gennem livet, som primært bestemmes af stjernens masse ved dens tilblivelse. Tunge stjerner med en masse på over 11 gange solens lever et kort og turbulent liv efter forskriften “lev stærkt – dø ung”, der slutter med en spektakulær eksplosion – en såkaldt kerne-kollaps supernova. Lette stjerner med en masse på under 7 gange solens lever derimod et længere og noget mere afdæmpet liv og bliver i deres alderdom til hvide dværgstjerner. Men hvad så med de middeltunge stjerner med en masse på mellem 7 og 11 gange solens? Den gåde har vi fysikere ikke haft held med at løse endnu, men vi er nu kommet et skridt tættere på svaret.

Tunge og lette stjerners endeligt

Stjerner tilbringer det meste af deres liv med at omdanne brint til helium. Ved disse fusionsprocesser frigøres den energi, der gør det muligt for stjernen at opretholde en tilstrækkelig høj indre temperatur – og dermed tryk – til at modstå tyngdekraften. Når brinten er brugt op, får tyngdekraften overtaget. Stjernens kerne trækker sig sammen, og temperaturen i stjernens indre stiger. Sammentrækningen fortsætter, indtil temperaturen bliver høj nok til, at helium kan fusionere til kulstof og ilt, hvormed en ny ligevægt etableres. Tunge stjerner gennemgår en række sådanne forbrændings-stadier, indtil der til sidst ikke er mere kerneenergi at hente i fusionsprocesserne. Stjernen kapitulerer til tyngdekraften og dør i en gigantisk eksplosion, hvor stjernens kerne kollapser til en neutronstjerne eller et sort hul. Samtidig blæses de grundstoffer, som fusionsprocesserne har frembragt, ud i rummet, hvor de blander sig med den eksisterende interstellare gas og fornyer galaksens grundstofsammensætning.

Anderledes går det de lette stjerner. Når al helium er brugt op, trækker stjernens kerne sig sammen, men temperaturen bliver aldrig høj nok til at antænde den næste forbrændingsproces, fusion af kulstof. Kvantemekanikken lægger sig nemlig i vejen. I takt med at stjernens kerne trækker sig sammen, stiger ikke kun temperaturen, men også tætheden af stof. Imidlertid er der en nedre grænse for, hvor tæt vi kan pakke atomare partikler – det følger af det såkaldte usikkerhedsprincip formuleret af fysikeren Heisenberg, som siger at en kvantepartikels position ikke kan bestemmes til større nøjagtighed end ħ/Δp, hvor ħ er Plancks konstant (divideret med 2π), og Δp betegner nøjagtigheden, hvormed partiklens impuls er kendt. Elektronerne er de første til at ramme denne kvantemekaniske grænse, og når det sker, modsætter de sig yderligere sammentrækning med det, der betegnes udartningstryk. Således undgår de lette stjerner at gå til grunde i en kerne-kollaps supernova. I stedet blæser kraftige solvinde stjernens ydre lag ud i rummet og efterlader den udartede kerne, en hvid dværgstjerne bestående af kulstof og ilt.

Hvilke udveje har de middeltunge stjerner?

De middeltunge stjerners udvikling minder meget om de lette stjerners udvikling med den forskel, at de middeltunge stjerner formår at antænde og forbrænde kulstof, inden udartningstrykket sætter ind – det er i hvert fald, hvad de astrofysiske stjernemodeller tilsiger. Men hvad der sker efterfølgende er usikkert. Der tegner sig tre muligheder: "Den lette udvej": Kraftige solvinde blæser stjernens ydre lag ud i rummet og efterlader den udartede kerne, en hvid dværgstjerne bestående primært af ilt og neon. "Den tunge udvej": Stjernen dør i en kerne-kollaps supernova, der efterlader en neutronstjerne. "Den termonukleare udvej": Den udartede kerne påbegynder et kollaps, men inden det kan fuldbyrdes, antændes en eksplosiv forbrænding af ilt, der sønderriver stjernen i en termonuklear supernova og efterlader en hvid dværgstjerne bestående af ilt, neon og en række fusionsprodukter såsom jern. Blandt de forskere, der beskæftiger sig med problemet, er den herskende opfattelse, at en stor andel af de middeltunge stjerner sandsynligvis vælger den mere stilfærdige, lette udvej, men samtidig forventes det, at en ikke ubetydelig andel eksploderer ved enten at følge den tunge udvej eller den termonukleare udvej. Men hvilken?

Et spørgsmål om elektron­indfangning

For at svare på det spørgsmål, er vi nødt til at kigge nærmere på bestemte kernefysiske processer, der aktiveres i stjernens udartede kerne, når en tilstrækkelig høj massetæthed indtræffer. Stjernens kerne består som tidligere nævnt hovedsageligt af ilt og neon, nærmere bestemt isotoperne 16O og 20Ne. I takt med, at massetætheden øges, vokser udartningstrykket i stjernens kerne og dermed elektronernes kinetiske energi, indtil elektronerne har tilstrækkelig energi til at omdanne 20Ne til 20F. Ved denne proces indfanges en elektron af en 20Ne-atomkerne, hvorved atomkernen omdannes til 20F, mens en neutrino udsendes. Den nydannede 20F-atomkerne indfanger prompte endnu en elektron og omdannes herved til 20O. Som et led i denne sekvens af elektron-indfangninger udsendes også en anselig mængde gamma-stråling, der omsættes til varmeenergi i stjernens indre. Således har elektronindfangnings-processerne to vigtige funktioner: De frigør varmeenergi og berøver samtidig stjernen de elektroner, der hjælper med at modstå tyngdekraften. Som konsekvens heraf trækker stjernens kerne sig sammen, massetætheden øges og raten af elektronindfangninger skyder i vejret. På kort tid vokser temperaturen i stjernens kerne til 1,5 milliarder Kelvin, og når det sker, begynder 16O-atomkernerne at fusionere, hvormed varmeproduktionen for alvor løber løbsk i en termonuklear eksplosion.

Forbudte overgange

Atomer kan som bekendt eksistere i en række energitilstande. Tilstanden med lavest energi er stabil og betegnes som atomets grundtilstand. Alle andre tilstande kaldes anslåede og vil med tiden henfalde til grundtilstanden. Det sker typisk ved, at en elektron skifter plads til en orbital med lavere energi under udsendelse af en foton.

Samme princip gør sig gældende for selve atomkernen. Den kan også eksistere i en række anslåede tilstande, der med tiden henfalder til grundtilstanden. En væsentlig forskel er energiskalaen: Hvor energiforskellen mellem atomets tilstande typisk er nogle få elektronvolt eller blot brøkdele af en elektronvolt, måles energiforskellen mellem kernens tilstande i hundredetusinder eller endda millioner af elektronvolt. I kernefysik bruges derfor enheden megaelektronvolt til at udmåle energier, ofte forkortet til MeV.

Ikke alle atomkerner har stabile grundtilstande, langt fra. Et eksempel herpå er 20F, som beta-henfalder til 20Ne med en halveringstid på 11 sekunder. Ved denne henfaldsproces omdannes en neutron i kernen til en proton under udsendelse af en elektron (betastråling) og en antineutrino med en samlet energi på 5,4 MeV. Dermed er henfaldsprocessen dog ikke helt overstået, for den nyskabte 20Ne kerne fødes nemlig i en anslået tilstand. Først efter at have udsendte en foton med energi på 1,6 MeV, falder 20Ne kernen til ro i sin grundtilstand. Når 20Ne-kernen ikke fødes i sin grundtilstand, skyldes det, at denne overgang er “forbudt”. Det til trods for at overgangen har en større energigevinst (7,0 MeV) end overgangen til den anslåede tilstand (5,4 MeV) og derfor burde synes mere gunstig.

Dette hænger sammen med, at en atomkernes tilstande ikke alene er karakteriseret ved deres forskellige energier, men også ved deres kvantiserede impulsmomenter (også kaldet spin). En grundlæggende egenskab ved betahenfald er, at det har vanskeligt ved at ændre kernens impulsmoment med mere end 1 kvante-enhed. (Det skyldes fundamentalt set, at de to partikler, der udsendes ved et betahenfald, en elektron og en neutrino, er meget lettere end atomkernen og derfor giver en meget begrænset rekyleffekt.) Betahenfald vil derfor som regel forbinde kernetilstande med samme impulsmoment eller impulsmomenter, der kun afviger med en enkelt kvante-enhed. Sådanne overgange kaldes for “tilladte” overgange. Overgange, der forbinder tilstande med større spring i impulsmoment, kaldes “forbudte”. Det betyder ikke, at de ikke finder sted, men sandsynligheden er kraftig reduceret sammenlignet med tilladte overgange.

Grundtilstanden i 20F og den anslåede tilstand i 20Ne har begge et impulsmoment på 2 enheder, mens grundtilstanden i 20Ne har et impulsmoment på 0, hvilket forklarer hvorfor overgangen til grundtilstanden er forbudt og kun observeres i ringe grad.


Nye resultater tipper vægtskålen

Titusinde-kroners-spørgsmålet er nu, om ilt-forbrændingen frigør nok energi til at bremse den igangværende sammentrækning, eller om tyngdekraften bevarer overtaget, så stjernen fortsætter med at trække sig sammen efter ilt-forbrændingen er udslukt. Svaret på det spørgsmål viser sig at afhænge af, hvor tidligt 20Ne begynder at indfange elektroner. For stjernen er det som en dans på en knivsæg. Sker indfangningen, mens massetætheden fortsat er under 10 milliarder gram per kubikcentimeter, vinder ilt-forbrændingen, og stjernen sønderrives i en termonuklear supernova (“den termonukleare udvej”). Sker det senere, får tyngdekraften overtaget, og stjernen dør i en kerne-kollaps supernova (“den tunge udvej”).

Tidligere i år publicerede vi sammen med kolleger fra en række andre lande nye resultater, der viser, at elektron-indfangningen aktiveres ved en lavere massetæthed, end man hidtil havde troet muligt. Denne opdagelse tipper vægtskålen i ilt-forbrændingens favør og ændrer vores forståelse af de middeltunge stjerners udviklingsforløb. Hvor det længe har været den gængse opfattelse, at de middeltunge stjerner kollapser til neutronstjerner, tror vi nu, at mange af dem eksploderer i termonukleare supernovaer, der efterlader en hvid dværgstjerne bestående af ilt, neon og en række fusionsprodukter såsom jern.

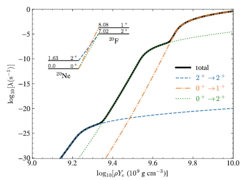
Helt konkret viser de nye resultater, at 20Ne kan omdannes til 20F ved en såkaldt forbudt overgang (se faktaboks), der aktiveres ved en elektron-energi på 7,0 millioner elektronvolt (MeV) svarende til energiforskellen mellem de to atomkerners grundtilstande. Eftersom denne overgang er forbudt, har man længe troet, at den ingen rolle spillede. I stedet har man regnet med, at elektronindfangningen foregik ved en tilladt overgang til den første anslåede tilstand i 20F, hvilket dog kræver en noget højere energi på 8,1 MeV og derfor først muliggøres ved højere massetætheder.


Jordiske målinger

For at afgøre, om den forbudte overgang spiller en rolle for elektronindfangningen i middeltunge stjerner, satte vi os for at måle overgangen i et laboratorieeksperiment, hvilket ingen tidligere var lykkedes med. Vores strategi var at betragte den tids-omvendte proces, hvor 20F beta-henfalder til 20Ne og eftervise eksistensen af den forbudte overgang mellem de to kerners grundtilstande i dette radioaktive henfald.

Det forbudte betahenfald til grundtilstanden producerer elektroner med energier op til 7,0 MeV, mens det tilladte – og dermed langt mere sandsynlige – henfald til den første anslåede tilstand i 20Ne kun producerer elektroner med energier op til 5,4 MeV (se faktaboks). Udfordringen var derfor at påvise eksistensen af elektroner med energier over 5,4 MeV og måle, hvor hyppigt, de blev udsendt.

Da 20F henfalder med en halveringstid på bare 11 sekunder, kan henfaldsprocessen kun studeres i specielt indrettede accelerator-laboratorier, hvor radioaktive isotoper produceres og på kort tid transporteres til en strålingsdetektor. Vi udførte vores eksperiment på et laboratorium i Finland, som er et af få i verden, der kan producere radioaktivt 20F med tilstrækkelig renhed og intensitet til at muliggøre målingen af den forbudte overgang.

Under eksperimentet, som varede en uges tid, blev 20F ionerne transporteret til vores specialdesignede strålingsdetektor, som bestod af et magnetisk spektrometer til at frasortere lavenergi-elektroner og fotoner samt en plastik scintillator til at måle energien af de høj-energi elektroner, der slipper gennem spektrometeret. Således lykkedes det os at detektere 55 elektroner med en energi på mellem 5,4 og 7,0 MeV, og da vi samtidig kunne påvise, at kosmisk stråling kun kunne redegøre for 30 ± 3 af disse detektioner, var missionen lykkedes. Baseret på vores observationer kunne vi konkludere, at 1 ud af hver 250.000 henfald følger den forbudte rute til grundtilstanden. Selvom det ikke lyder af meget, er det faktisk en overraskende stor procentdel, da vi kun kender til én anden forbudt overgang med en ligeså stor styrke.

Konsekvenser for stjerneudvikling

I samarbejde med teoretiske kolleger i Tyskland og USA har vi udført numeriske beregninger for at forstå, hvilke konsekvenser vores eksperimentelle opdagelse har for de middeltunge stjerners udvikling. Her ser vi, at den forbudte overgang gør det muligt for 20Ne at indfange elektroner på et tidligere stadie. Dermed antændes ilt-forbrændingen ved en lavere massetæthed, den igangværende sammentrækning bremses, og stjernen eksploderer i en termo­nuklear supernova. Tilbage efterlades en hvid dværgstjerne sammensat af ilt, neon og en række fusionsprodukter, mens resten af stjernens bestanddele blæses ud i verdensrummet, hvor det blander sig med den interstellare gas.


Nu mangler vi bare astronomiske observationer til at efterprøve vores forudsigelser. Desværre har vi ikke en entydig forventning om, hvordan disse termonukleare supernovaer vil tage sig ud på nattehimlen. Det kan gøre det vanskeligt for astronomer at skelne dem fra de mange andre typer supernovaer, der findes. Til gengæld kender vi ikke til andre astrofysiske processer, der resulterer i hvide dværgstjerner med samme sammensætning af ilt, neon og andre fusionsprodukter. Hvis en sådan dværgstjerne en dag observeres, vil det give stærk evidens for modellen.

Indtil videre er der kun indirekte evidens til at bestyrke vores tro på modellen. For eksempel forventes den termonukleare supernova at producere store mængder af bestemte isotoper såsom 48Ca, 50Ti og 54Cr, der kun dannes i begrænsede mængder i andre type stjerne­eksplosioner. Analyser viser, at de termonukleare supernovaer kun behøver at udgøre cirka 0,5% af det samlede antal supernovaer i vores galakse for at kunne forklare den relativt høje forekomst af netop disse tre isotoper.

Endelig er der spørgsmålet om konvektion. Selvom vi nu har fået styr på elektronindfangnings- processerne, forbliver det uklart, om varmeproduktionen er kraftig nok til at sætte gang i konvektion i stjernens indre. Vores nuværende modeller antager, at det ikke er tilfældet. Tager vi fejl, kan det betyde, at ilt-forbrændingen antændes senere, og stjernen trods alt kollapser til en neutronstjerne. Her sætter vi vores lid til, at bedre modeller for konvektion i stjerner snart ser dagens lys.

På denne figur ses raten, hvormed 20F indfanger elektroner ved en temperatur på 400 millioner Kelvin, afbildet som funktion af massetætheden i stjernens indre. Bemærk, at begge akser er logaritmiske. Den grønne, prikkede kurve viser bidraget fra den forbudte overgang. Det ses, at indfangningsraten i en periode øges med op til 8 størrelsesordner (dvs. en faktor 100.000.000!) sammenlignet med den rate, man får, når man ser bort fra den forbudte overgang.

Figuren er fra Kirsebom et al., Phys. Rev. Lett. 123, 262701