AU


Kvæg presser Kenyas løver væk


Flokke af kvæg fordriver løver og andre vilde dyr fra deres levesteder i Kenya  – også selv om hyrderne lukker kvæget inde om natten, når rovdyrene er aktive.  Et studie fra Aarhus Universitet peger på løsninger, der kan mindske  konflikterne mellem husdyr og vilde dyr. 


Af Henriette Stevnhøj


På savannen i Kenya lever løver og husdyr i princippet i skiftehold: Kvæget græsser om dagen og lukkes inde på fold om natten, når løverne er aktive. Alligevel presses løverne væk fra deres habitater af de store kvæghold. Det har både konsekvenser for økosystemets balance og for den naturturisme, som mange masaier i Kenya er dybt afhængige af. Det viser et studie fra Aarhus Universitet, ledet af Niels Mogensen, ph.d.-studerende ved Institut for Biologi. Niels Mogensen har sammen med lokale registreret de forskellige grupper af dyr – løver, andre rovdyr og græssende husdyr – i naturfredningsområdet Masai Mara, som ligger i den sydvestlige del af Kenya. Området er på størrelse med Lolland og en god luns af Falster og er kendt for sine mange løver og den årlige vandring af gnuer. Masai Mara er samtidig et af Afrikas mest populære turistmål. 

Særligt løverne er under pres fra masaiernes store kvægflokke. Niels Mogensen fortæller, at det er et meget omfattende studie med et stort datamateriale, som er indsamlet over ni år og dækker flere bevaringsområder.  

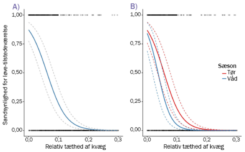
»Selv om kvæget er under opsyn af hyrder og trækkes ind i indhegninger om natten, når løverne bliver aktive, bliver de vilde dyr alligevel påvirket indirekte. Løverne har en naturlig frygt for kvæg og deres hyrder, og i takt med, at der kommer mere kvæg, er det løverne, der viger. De ændrer simpelthen adfærd,« forklarer Niels Mogensen.

Dataindsamlingen er foregået ved, at forskerne har delt studieområdet op i felter på hver én gange én kilometer, og hver gang forskerne kørte gennem felterne, registrerede de alle løver og husdyr og antal kørte kilometer på deres vej. Herefter blev data analyseret ved brug af rumlige modelleringsmetoder, som i praksis betyder, at der er taget højde for geografiske eller rumlige forhold. 

Mindre plads skaber nye problemer

Næsten 70 procent af Kenyas vilde dyr lever i dag uden for nationalparkerne – ofte i de samme områder, som lokalbefolkningen bruger til at græsse deres kvæg. I det lokalt drevne naturforvaltningsområde Masai Mara er målet, at vilde dyr, turisme og husdyrbrug kan eksistere side om side. Men det kniber med at finde balancen, siger Niels Mogensen. 

»På trods af, at løverne og kvæget ikke opholder sig på græssletten på samme tid, viser vores data, at løverne undgår de områder, hvor kvæget græsser. Det sker meget sjældent, at mennesker slår løver ihjel eller direkte truer dem, når de befinder sig i naturområdet. Alligevel har menneskets brug af landskabet skabt områder, som løverne er bange for at bevæge sig ind i,« siger Niels Mogensen.  

Konsekvensen er, at løverne får mindre plads at bevæge på, og det skaber nye problemer.  

»Løverne bliver potentielt skubbet ind i uegnede habitater, deres evne til at få unger kan påvirkes, og de kan blive drevet ind i andre løveflokkes territorium. Samtidig stiger risikoen for, at løveflokkene kommer tættere på landsbyerne, og det skaber utryghed.«



Skab flere fristeder

Niels Mogensen peger på flere løsninger; en af de vigtigste er at styre græsningen mere målrettet, så der ikke er for mange husdyr i de områder, løverne foretrækker. En anden anbefaling lyder, at der indføres klare grænser for, hvor husdyr må græsse, og at græsningen roteres, så nogle områder får perioder med ro. Løvernes sikre opholdssteder bør også beskyttes bedre. Det gælder især områder langs floder og med tæt busk- og skovbevoksning, hvor løverne kan skjule sig og hvile i dagtimerne. Han fraråder derfor, at kvæg får lov til at græsse i løvernes fristeder og peger på vigtigheden af at bevare et varieret landskab. En tredje anbefaling handler om at bruge data mere aktivt i forvaltningen af bevaringsområderne. Ifølge Niels Mogensen bør viden om, hvor løver og husdyr faktisk opholder sig, spille en langt større rolle i planlægningen af græsningen. 

»Vi har nu et detaljeret billede af, hvordan løverne reagerer på husdyr. Den viden bør bruges direkte i forvaltningen, så beslutninger om græsning bygger på fakta frem for antagelser,« siger han. 

Endelig fremhæver Niels Mogensen, at overvågningen skal fortsætte. Han mener, at undersøgelser i fremtiden blandt andet bør se på, hvordan tættere bestande påvirker løvernes sociale struktur, stabiliteten i flokkene og ungers evne til at overleve.  ♦